分享:雙相不銹鋼內界面特征分布和耐晶間腐蝕性能
朱言利,許 婷,秦聰祥,尹文紅,方曉英
(山東理工大學機械工程學院,淄博 255049)
摘 要:分別在1573,1323K 對 UNSS31803雙相不銹鋼進行了固溶處理,再依次進行了冷軋和退火處理,利用電子背散射衍射和雙環電化學動電位再活化法研究了該鋼內界面特征分布和晶間腐蝕敏感性,并分析了二者之間的關系.結果表明:在1573K 固溶并經冷軋退火后,試驗鋼得到了α+g兩相均勻分布的等軸組織,出現了大量滿足 KGS和 NGW 取向關系的低能相界,且α相中低界面能的小角度晶界所占比例超過50%,這些低能界面抑制了晶粒的長大,提高了試驗鋼的耐晶間腐蝕性能;在1323K 固溶并經冷軋退火后,試驗鋼的顯微組織為α+γ兩相條帶組織,滿足KGS和 NGW 關系的相界較少,α相中以大角度晶界為主,其耐晶間腐蝕性能較差.
關鍵詞:取向關系;雙相不銹鋼;晶間腐蝕;EBSD技術
中圖分類號:TG142.1 文獻標志碼:A 文章編號:1000G3738(2017)08G0018G05
InterfacialBoundaryCharacterDistributionandIntergranular
CorrosionResistanceofDuplexStainlessSteel
ZHUYanli,XUTing,QINCongxiang,YIN Wenhong,FANGXiaoying
(SchoolofMechanicalEngineering,ShandongUniversityofTechnology,Zibo255049,China)
Abstract:A UNSS31803duplexstainlesssteelwastreatedbysolidGsolutionat1573 K and1323 K,
respectively,andthentreated bycoldrolling and annealinginsequence.Theinterfacialboundarycharacter
distributionandthesusceptibilitytointergranularcorrosionofthesteelwerestudiedbytheelectronbackscattered
diffractionanddoubleGloopelectrochemicalpotentiokineticreactivation method.Therelationshipbetweenthetwo
propertieswasanalyzed.TheresultsshowthataftersolidGsolutionat1573Kfollowedbycoldrollingandannealing,
theequiaxedstructurewithevenlydistributedαandγphaseswasobtainedintestedsteelandalargenumberoflowG
energyphaseboundarieswithKGSandNGW orientationrelationshipappeared.ThepercentageoflowGanglegrain
boundariesinαphasewasover50%.TheselowGenergyboundarieshinderedthegrowthofgrains,resultinginthe
improvementofintergranularcorrosionresistanceoftestedsteel.AftersolidGsolutionat1323Kfollowedbycold
rollingandannealing,the microstructureoftestedsteelwascomposedofbandGlikeα+γphasesandthephase
boundarieswith KGSand NGW orientationrelationship wererelativelyfew.There were mainlyhighGanglegrain
boundariesinαphase.Theintergranularcorrosionresistancewasrelativelypoor.
Keywords:orientationrelationship;duplexstainlesssteel;intergranularcorrosion;EBSDtechnology
、
0 引 言
雙相不銹鋼具有優良的力學性能和耐應力腐蝕性能,在船舶與化工行業得到了廣泛的應用[1].通過對雙相不銹鋼進行適當的形變退火,可細化其顯微組織并引入高比例的內界面,即相界和晶界,這些內界面特征分布對顯微組織的演變起到了重要作用,從而能有效提高鋼的強度和韌性[2G3].在雙相不銹鋼中,內界面特征分布主要包括晶界特征分布和相界特征分布.在立方晶系的金屬中,晶界特征分布的重要特性是界面取向差分布,如基于Σ (超點陣晶胞與實際點陣晶胞的體積之比)值的重位點陣晶界(CSL)分布[4G5].在此方面,已經有了大量的研究工作,如在低層錯能的面心立方金屬中,通過增加Σ3n (n=1,2,3,??)CSL界面的比例來提高其耐晶間腐蝕性能[6G7].另外,小角度晶界由于具有低的界面能,能更好地抵抗脆性斷裂和晶間腐蝕[8].相界特征分布研究的是不同相之間的取向關系,已有的研究大多基于透射電鏡(TEM)技術[9G10],但 TEM技術只能觀察到很少量的相界,不具備統計意義.
最近幾十年,一種能夠在較大區域內自動標定塊狀樣品的微區取向技術———電子背散射衍射(EBSD)技術,被廣泛應用于雙相取向關系的測定[11G12].目前,評價 不 銹 鋼 晶 間 腐 蝕 敏 感 性 的 方 法 較 多,如Strauss、Huey、Streicher等測試方法.但這些方法只能定性測量,而且耗時較長,且對樣品具有一定破壞作用[13].電化學動電位再活化法(EPR)具有定
量、無損、快速檢測等優點,在測試不銹鋼晶間腐蝕性能上得到了廣泛應用[14].
作者采用 EBSD 技術統計了不同熱處理狀態UNSS31803雙相不銹鋼的晶界特征分布和相界特征分布,同時應用雙環電化學動電位再活化法(DLGEPR)測試了其晶間腐蝕敏感性,分析了內界面特征分布對其耐晶間腐蝕性能的影響,為提高該合金的使用性能提供理論指導.
1 試樣制備與試驗方法
試驗材料為由太原鋼廠提供的熱軋 UNSS31803雙 相 不 銹 鋼 板,其 化 學 成 分 (質 量 分 數/%)為22.16Cr,5.28Ni,3.09Mo,1.11Mn,0.017C,0.0016S,0.026P,0.151N 和0.52Si.在該雙相不銹鋼板上切出尺寸為60mm×20mm×15mm 的試樣,分別在1573K(試樣 A)和1323K(試樣 B)下固溶處理
30min,然后 進 行 真 應 變ε=2 的 冷 軋 處 理,再 在1323K 下進行退火處理,退火時間分別為 2,15,30min,水淬冷卻.對試 樣 軋 面 進 行 機 械 拋 光,再 在 HClO4 和CH3COOH 體積比為20∶80的拋光液中電解拋光,電壓和時間分別為30V 和20s,用無水乙醇沖洗并吹干. 將 拋 光 好 的 試 樣 在 配 有 EBSD 附 件 的SirionG200型熱場發射掃描電子顯微鏡(SEM)上以逐點掃 描 的 方 式 獲 取 晶 粒 取 向 數,加 速 電 壓 為20kV,掃描步長為0.5μm,試樣表面法線方向與電子束方向之間的夾角為70°,工作距離為15mm,電子束斑大小為3nm,以獲得高質量的 EBSD菊池花樣.對每組試樣均掃描多個尺寸為1 mm×1 mm的區域,并把數據累加起來進行處理,以獲得具有代
表性的 晶 粒 取 向 數 據. 利 用 Manager 軟 件 處 理EBSD原始數據,得到二維取向成像顯微圖和界面取向差分布圖.按照 GB/T29088-2012,采用 DLGEPR 方法測試樣的晶間腐蝕敏感性.將試樣在973K 下保溫2h后水冷,然后分別置于2.0 mol??L-1 H2SO4 +1.0mol??L-1 HCl溶液中,在上海辰華儀器公司生產的電化學工作站上,以1.677mV??s-1的速率進行陽極極化電位掃描,由自腐蝕電位(Ecorr)開始掃描到鈍化電位(0.3V),再以同樣的速率反方向掃描至Ecorr.將測得的再活化電流Ir 與活化電流Ia 的比值定義為再活化率Ra,以 Ra 來表征試樣的晶間腐蝕敏感性.Ra 值越大,試樣的晶間腐蝕敏感性越高,其耐晶間腐蝕性能就越差[15].
2 試驗結果與討論
2.1 固溶處理后的顯微組織
由圖1可知:在1573K 固溶30 min后,試樣的組織為等軸的單一α(鐵素體)相,晶粒較粗大,平均晶粒尺寸約為540μm;在1323K 固溶30 min后,試樣組織為相間分布的 α+ g(奧氏體)兩相組織,α和g相呈條帶狀,其晶粒細小,平均晶粒尺寸分別約為38,20μm.

2.2 冷軋退火后的顯微組織
圖2中灰色和白色組織分別為 α相和 γ相,α相中的細、粗實線分別表示小角度晶界和大角度晶界,γ相中的則分別表示大角度晶界和孿晶界.由圖2,圖3和圖4可以看出:在1323K 退火不同時間后,試樣 A 的晶粒相對試樣B的更細小,且α和γ
相的晶粒大小及長大趨勢基本一致,隨著退火時間的延長,兩相比例變化不大;在相同的退火時間下,試樣 A 中的α和 γ相晶粒呈等軸狀,且分布均勻,而試樣B中的α和γ相晶粒沿軋制方向呈條帶狀分布,這與其固溶處理后的顯微組織類似,只是晶粒尺寸有所減小.由于試樣 A 和 B 采用的冷軋及退火工藝相同,其顯微組織的差異應是由于其固溶態組織的不同而導致的.
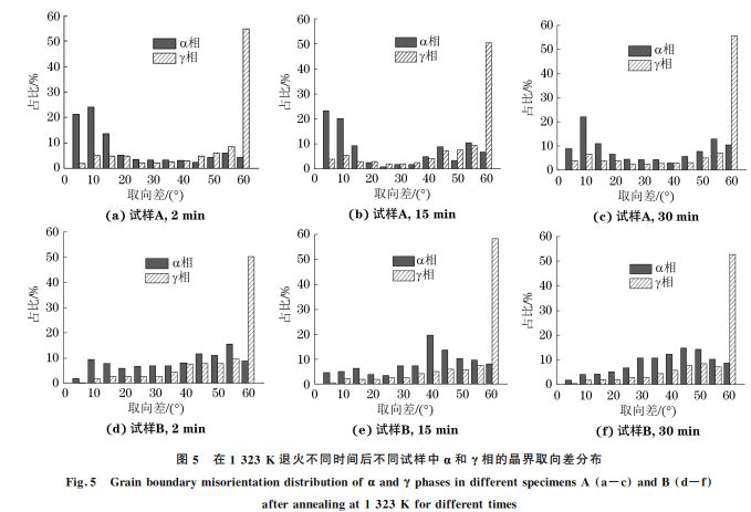
2.3 晶界取向差分布
由圖5 可 以 看 出:在 1323 K 退 火 不 同 時 間后,試樣 A 中的 α相出現了大量的取向差在2°至15°之間的 小 角 度 晶 界,退 火 2,15 min后,α相 中的小角度晶界占所有晶界的比例超過了50%,退火30min后,小角度晶界所占比例有所減少,這可能是由于一些相鄰亞晶和晶粒的合并長大而導致的;試樣 B中 α相的小角度晶界占所有晶界的比例相對較低,不到試樣 A 的一半.由此可見:試樣A 中的α相在退火過程中主要發生了高溫回復,因而產生了大量多邊形狀的亞晶組織;試樣 B中的α相則主要發 生 了 再 結 晶,出 現 了 較 高 比 例 的 大 角度晶界.兩種試樣中的g相中均產生了大量取向差為60°的孿晶界.
2.4 相界特征分布
目前在α/γ系的雙相合金中的取向關系主要有KurdjumowGSachs(KGS)和 NishiyamaGWassermann(NGW)兩種類型.偏離這兩種取向關系的角度越小,相鄰兩個異相晶粒間的界面幾何結構實現高匹配的概率就越高,構成相界的界面能就越低.由圖6可以看出:試樣 A 中滿足 KGS和 NGW 取向關系(偏離角度不大于3.5°)的相界占比接近50%,遠遠高于試樣 B的(不足10%).這些相界通常是在相變過程中產生的,其占比越高,說明在退火過程中發生的相變數量越多.結合圖1和圖5分析可知,試樣 A(在1573K 固溶30min后)的顯微組織為單一粗大的α相,經ε=2的冷軋處理和退火后組織發
生2種轉變,分別為以高溫多邊形狀為特征的回復和α→g的相變.這種回復和相變的耦合使得試樣A 中的兩相組織為均勻分布的等軸晶粒,且含有大量低能界面,如 KGS和 NGW 相界、α相中的小角度晶界和γ相中的孿晶界等.這些界面在退火過程中會抑制晶粒的長大,因而其組織也比較細小.盡管隨著退火時間的延長,試樣B中的滿足 KGS和 NGW關系的相界略有增加,但絕大多數的相界仍是由再結晶的鐵素體和奧氏體晶粒隨機接觸而形成,因此很難滿足特定的取向關系.這也是在經冷軋和退火處理后,試樣 B的條帶狀顯微組織以及條帶間距沒有明顯變化的原因.
2.5 耐晶間腐蝕性能
從圖7可以看出,2種試樣在回掃的過程中(如圖中箭頭所示)均有活化峰出現,這與試樣的鈍化膜特性密切相關.由于敏化后的試樣因晶界缺鉻導致鈍化膜不完整,當外加電壓回掃到再活化區時,不完整的鈍化膜將優先溶解,再活化電流增高出現再活化峰.計算得到退火30 min后,試樣 A 的再活化率為1.44%,小于試樣 B的(8.34%),其晶間腐蝕傾
向較不明顯.結合圖5和圖6分析可知:試樣 A的α相中含有大量低界面能的小角度晶界,且這些小角度晶界大多處于一般大角度晶界網絡上,在阻斷和抑制晶間腐蝕方面具有積極的作用;試樣 A 中滿足 KGS和 NGW 關系的相界比試樣 B中的多,這些相界結構有序度高,界面能也比一般相界的低,因此在提高材料耐晶間腐蝕性能上起到了很重要的作用.
3 結 論
(1)在1573K 固溶30min后,試驗鋼的顯微組織為單相鐵素體;經軋制退火后,其顯微組織由等軸細小的α相(亞)晶粒和γ相晶粒組成,出現大量滿足 KGS和 NGW 取向關系的、結構有序度高的低能相界;兩相的晶界分別以低界面能的小角度晶界和孿晶界為主,α相中小角度晶界占比超過50%;這些低能界面抑制了晶粒的長大,提高了試驗鋼的耐晶間腐蝕性能.
(2)在1323K 下固溶30min后,試驗鋼的顯微組織為α+γ兩相條帶組織;經軋制退火后,其顯微組織變化不明顯,相界主要靠再結晶的α相和 γ相晶粒隨機接觸而成,大多不具備特定的取向關系,且α相中的界面一般以大角度晶界為主,因而其耐晶間腐蝕性能較差.