螺紋量塞規的檢測方法與判斷依據
螺紋量塞規是檢測螺牙螺角的萬能檢測工具,本次我們主要會介紹螺紋塞規在實際檢測過程之中的應用方法。
檢測圓柱螺紋塞規,可以使用萬能工具顯微鏡和萬能測長儀。
常規的檢測項目一般可以分為:牙型角α;中徑d2;單一中徑d2;牙側角α1,α2; 螺距累計誤差δPΣ; 作用中徑d2;大徑d。
螺距
螺紋塞規螺距可以在萬能工具顯微鏡(以下簡稱儀器)上用軸切法進行測量(圖2)。
測量刀的安裝方法,詳見本刊稍早刊登的《測量刀使用方法》一文。
測量步驟
1)按圖3所示,將0和1號兩把左刃刀,靠在螺紋的第0、第1號牙槽的左牙廓上,用測角目鏡0.3或0.9刻線瞄準測量刀刻線;測量并讀取x0′和x1′。然后將1號刀逐牙移動直至到n號牙槽處,0號刀一直保持不動,依次瞄準,測量并讀取 x0′~xn′。
軸切法測量刀放置位置
2) 換兩把右刃刀,靠在螺紋的第0、第1號牙槽的右牙廓上,測量并讀取x0"~xn",按(7)式計算平均值。
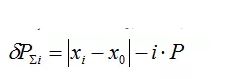
3)按(8)式計算螺距累積誤差。
式中P為螺距標稱值。
4)按表(9)式計算單個螺距誤差。
螺距測量,要求在塞規兩個相互垂直的軸向截面上進行。
單一中徑
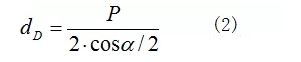
利用三針放在被測螺紋的牙槽內,用萬能測長儀(以下簡稱儀器)測量m值,通過(1)式計算中徑d2。
式中:
dD ——三針直徑;
P ——螺距標稱值;
α ——牙形角標稱值;
A1 ——螺旋升角修正值。
A2 ——測量力修正值。
測量步驟:
選擇三針:
根據被測螺紋的螺距P和牙型角α選擇所用的三針直徑;按(2)式計算出的三針直徑dD,稱為“最佳三針直徑”:
采用非最佳直徑的三針進行測量,螺紋牙形角的實際偏差將造成中徑的測量誤差,可以忽略不計。
準備儀器
在萬能測長儀檢測圓柱螺紋塞規的單一中徑需要的附件有:一對平面測帽、三針懸掛架、頂針架或單V形架(見封面圖);對于大型被測件,如果半徑大于頂針架的中心高,只能使其軸線處于垂直狀態安裝在工作臺上。如果螺距大于5毫米,雙針一側的測帽應采用φ14平面測帽。
建立起測點
根據被測塞規,將儀器頭、尾座調整至適合測量的位置,根據需要選定的安裝方式將被測件和所需附件安裝在工作臺上。
掛上測量力重錘,松開測量軸,推動測量頭座,直至兩測帽相接觸,且儀器示值在零點附近,鎖緊除測量軸以外的所有運動環節;使兩測帽在測量力的作用下,輕輕撞擊數次,直到儀器示值不再單方向變化為止。當前示值就是測量的起測點,可以選擇示值清零操作,或采集、記錄當前示值。
測量m值
在將三針插入螺紋時應注意,三根針一定要呈等腰三角形分布,特別是細牙螺紋,要注意觀察。測量安裝在頂針架或單V形架上的塞規,要調節工作臺繞垂直軸轉動,找到最小值拐點;測量軸線處于垂直狀態的螺紋,要調節工作臺繞水平軸擺動,找到最小值拐點。
對于螺紋塞規通端,應在螺紋工作段兩端和中部三個直徑截面且成90°的兩個直徑方向共6個位置上測量m值。對于止端,應在螺紋工作段兩端內側兩個直徑截面且成90°的兩個直徑方向共4個位置上測量m值。
檢查起測點
回到建立起測點的狀態,檢查起測點示值,若起測點沒有走動,則所測量m值有效。
計算螺旋升角修正值A1
對于小螺旋升角和公制圓柱螺紋塞規,螺旋升角修正量可按(3)式計算.
計算測量力修正值
由于三針十分細小,與螺紋螺旋面又是點接觸,以及牙形角的“楔”作用,使得三針法測量中徑時會產生較大的壓陷變形。必須按以下二式計算這種壓陷變形所造成的誤差,作為對中徑的修正值A2 ;
計算單一中徑
將以上結果代入公式(1),計算單一中徑。以所有單一種徑的平均值作為測量結果。
中徑
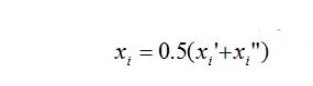
中徑仍采用測得的m值按公式(1)計算,與計算單一中徑不同的是:公式中的螺距P和牙側角α1,α2代入實際測量值,或螺距P代入測量值和牙型角α代入標稱值。
作用中徑
作用中徑采用測得的m值代入下式計算:
大徑
螺紋塞規大徑,放在萬能測長儀上,用一對平面測帽直接測量。
牙型角α和牙側角α1,α2
螺紋塞規牙型角和牙側角,可以在萬能工具顯微鏡上用軸切法進行測量。
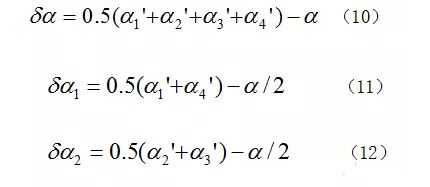
如圖4所使,用4把測量刀的刀刃靠在塞規螺紋的牙廓上,用測角目鏡瞄準測量刀刻線,讀取角度α1′,α2′,α3′,α4′。按(10)、(11)、(12)式計算牙型角誤差δα和牙側角誤差δα1,δα2。
