分享:金屬材料維氏硬度試驗測量不確定度的評定
張 憲1 2,穆丹寧2
(1.西安建筑科技大學 冶金工程學院,西安 710000;2.寶鈦集團有限公司,寶雞 721014)
摘 要:金屬材料維氏硬度試驗的測量不確定度主要來源于試驗力、標準硬度塊、壓痕對角線長度的測量以及硬度計本身、試驗結果的數值修約等.根據 GB/T4340.1-2009對硬度計和標準硬度塊的要求,結合生產實際,計算了不同試驗力下維氏硬度試驗的測量不確定度.結果表明:硬度計的最大允許誤差引起的測量不確定度所占的權重最大;對于同一維氏硬度,試驗力越大,維氏硬度試驗的測量不確定度則越小,因此在日常檢測中,在滿足要求的情況下,應盡可能選擇較大的試驗力,減小測量不確定度,使試驗結果更加準確可靠.
關鍵詞:維氏硬度試驗;測量不確定度;試驗力;最大允許誤差
中圖分類號:TG115.5;TB938.2 文獻標志碼:A 文章編號:1001G4012(2017)06G0410G03
EvaluationofMeasurementUncertaintyofVickersHardnessTest
ofMetalMaterials
ZHANGXian1,2,MUDanning
(1.InstituteofMetallurgicalEngineering,Xi’anUniversityofArchitectureandTechnology,Xi’an710000,China;
2.BaotiGroupLtd.,Baoji721014,China)
Abstract:ThemeasurementuncertaintyofmetalmaterialVickershardnesstestmainlyresultsfromtestforce,standardhardnessblock,measurementofindentationdiagonallength,hardnesstesteritself,testresult
roundingoff,etc.Accordingtotherequirementsforhardnesstestersandstandardhardnessblocksin GB/T
4340.1-2009,combinedwiththeproductionpractice,themeasurementuncertaintyofVickershardnesstestwithseveraldifferenttestforceswascalculated.Theresultsshowthatthemeasurementuncertaintyderivedfromthe
maximumpermissibleerrorofthehardnesstesterwasthelargest.ForthesameVickershardness,thelargerthetestforcewas,thesmallermeasurementuncertaintyofVickershardnesstestwas.Therefore,indailytesting,underthepremiseofmeetingtherequirements,thetestforceshouldbechosenaslargeaspossibletoreducethe
measurementuncertaintyandmakethetestresultsmoreaccurateandreliable.
Keywords:Vickershardnesstest;measurementuncertainty;testforce;maximumpermissibleerror
一切測量結果都不可避免地具有不確定度.所謂測量不確定度就是表征合理地賦予被測量值的分散性,是一個與測量結果相聯系的參數,用來描述測量結果的可疑程度.不確定度越小,則測量結果越可靠,測量水平和質量越高,所以測量不確定度是評價檢測機構能力和水平的最新評價指標[1].維氏硬度試驗是金屬材料常規力學性能的主要檢驗項目之一,可以測試目前工業上所用到的幾乎全部金屬材料,從很 軟 的 材 料 (幾 個 維 氏 硬 度)到 很 硬 的 材 料(3000個維氏硬度)都 可 以 測 試[2G3].鈦 及 鈦 合 金具有高比強度、低密度、高耐蝕性以及良好的生物相容性等特性,因此被廣泛地應用在航天航空、化工、船舶、醫療器械等領域.鈦及鈦合金的維氏硬度經常作為國家標準和行業標準中需要檢測的主要性能之一,且小載荷維氏硬度試驗在鈦合金常見的β斑、α污染層、硬質夾雜等顯微組織缺陷檢驗中起著至關重要的作用.因此,為了提高維氏硬度試驗結果的可靠性,提升實驗室的檢測能力與水平,正確地評定維氏硬度試驗的測量不確定度是非常必要的.
金屬材料維氏硬度試驗標準 GB/T4340.1-2009«金屬材 料 維 氏 硬 度 試 驗 第 1 部 分:試 驗 方法»規定:除非另有規定,試驗一般在10~35℃的溫度范 圍、濕 度 ≤65% 的 環 境 下 進 行. 某 實 驗 室WilsonGWolpertTukon2100B型維氏硬度計,經計量部門檢定合格,滿足國家和行業相關檢定規程的規定.該實驗室日常檢測試樣為滿足 GB/T4340.1-2009要求的鈦及鈦合金、鎳及鎳合金等金屬材料.
對試樣加載適當的試驗力,保持10s,測量兩壓痕對角線長度d1 和d2,硬度計便會自動顯示出其維氏硬度.筆者根據JJF1059.1-2012«測量不確定度評定與表示»和 GB/T4340.1-2009對硬度計和標準硬度塊的要求,并結合生產實際,計算了350HV5鈦合金標 準 硬 度 塊 在 試 驗 力 分 別 為 98.07,49.035,
9.807,4.904,2.942,1.961N 時的維氏硬度試驗測量不確定度,以明確試驗力對維氏 硬度試驗測量不確定度的影響,為實驗室檢測人員日常工作和建立健全檢測實驗室質量評價體系提供參考.
1 試驗材料與試驗方法
根據 GB/T4340.1-2009,在規定的環境條件下,采用經計量檢定合格的維氏硬度計,對符合要求的金屬材料在規定的試驗力下進行維氏硬度試驗.
按照標準規定的加載速率、保壓時間、放大倍數和合適的壓痕測量裝置,手動或自動測量兩壓痕對角線長度的平均值,查表或自動讀出硬度.
2 維氏硬度試驗測量不確定度的評定
2.1 建立數學模型
維氏硬度的計算公式如下:
HV =0.1891F/d2 (1)式中:d 為兩壓痕對角線長度的平均值,mm;F 為試驗力,N.
2.2 測量不確定度的來源分析
維氏硬度試驗的測量不確定度主要來源于試驗力、標準硬度塊的均勻性、壓痕對角線長度測量、硬度計本身、試驗結果數值修約等所導致的不確定度分量[4G6].在穩定的環境條件下,環境因素、試驗力保持時間等引起的不確定度分量所占權重很小,可以忽略不計.由于該實驗室使用的硬度計是經過專門的檢定 機 構 檢 驗 合 格 的,其 測 量 允 許 誤 差 滿 足GB/T4340.2-2012«金屬材料 維氏硬度試驗 第2部分:硬度計的檢驗與校準»要求,因此試驗力值測量誤差由硬度計的允許誤差決定.所以筆者主要從硬度計、標準硬度塊的均勻性、壓痕對角線長度測量、試驗結果的數值修約等4個方面計算測量不確定度.
2.3 相對標準不確定度分量的評定
2.3.1 硬度計最大允許誤差引入的相對標準不確
定度分量uref,E以350HV5,即49.035N 載荷、350 HV 硬度為例,根據 GB/T4340.1-2009第5.1款規定,硬度計應 符 合 GB/T4340.2-2012 的 規 定.查 GB/T4340.2-2012中表5得,49.035N,350HV 時,硬度計的最大允許誤差Eref=±3%,半寬a= Eref .由于硬度計的最大允許誤差引入的不確定度屬于均勻分布,k= 3,所以uref,E =ak=0.033=0.01732.
2.3.2 標準硬度塊均勻性
引入的相對標準不確定度分量uref,CRMGB/T4340.2-2012規定,標準硬度塊應符合GB/T4340.3-2012«金屬材料 維氏硬度試驗 第3部分:標 準 硬 度 塊 的 標 定»第 7.2 款 的 規 定. 查GB/T4340.3-2012中表 4 得,49.035 N,350 HV時,標準 硬 度 塊 最 大 允 許 值 Jrel =1%,半 寬 a=Jrel /2.硬度塊的不均勻性是最大值與最小值的差,屬于反三角正弦分布,k= 2,則uref,CRM =ak=0.012 2=0.00354.
2.3.3 壓痕測量裝置的分辨力引入的相對標準不
確定度分量uref,ms根據 GB/T4340.1-2009第5.3款,壓痕測量裝 置 應 符 合 GB/T 4340.2-2012 的 規 定. 查GB/T4340.2-2012中表 3 發現,壓痕測量裝置的分辨 力 是 由 壓 痕 對 角 線 長 度 確 定 的.49.035 N,350HV時,由 式 (1)計 算 得 d =0.1628 mm,0.040mm<d≤0.2mm,此時壓痕測量裝置的分辨力為0.5%d,半寬a=分辨力/2.由于壓痕測量裝置的分辨力引入的不確定度屬于均勻分布,k= 3,所以uref,d =0.00523=0.00144,則uref,ms=∂HV∂d??ud ??1HV=2d??ud =2uref,d =0.00288.
2.3.4 數值修約引入的相對標準不確定度分量
uref,rou由 CNASGGL10:2006«材料理化檢驗測量不確定度評估 指 南 及 實 例»中 表 4G18 查 得,49.035 N,350HV時,修 約 間 隔 導 致 的 不 確 定 度 。
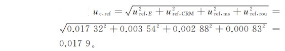
由于以上分量相互獨立,所以相對合成標準不確定度
按 照 JJF 1059.1-2012 的 規 定 和 GB/T4340.1-2009的要求,最終報告的測量不確定度有效數字保留到個位,并按照 GB/T8170-2008«數值修約規則與極限數值的表示和判定»對測量結果進 行 數 值 修 約. 所 以,合 成 標 準 不 確 定 度uc=0.0179×350=6.265≈6HV.
2.5 擴展不確定度的評定
取置 信 因 子 k =2,則 擴 展 不 確 定 度 U =uc??k=6×2=12HV.
2.6 測量不確定度報告
按照JJF1059.1-2012 中 第 5 款“測 量 不 確定度的報告與表示”的規定,試驗鈦合金標準硬度塊的維氏硬度試驗結果報告如下:HV =350HV,U = 12HV,k= 2.
2.7 討論
為了研究不同試驗力對維氏硬度試驗測量不確定度的 影 響,按 照 前 面 的 評 定 步 驟 分 別 計 算 了350HV5標 準 硬 度 塊 在 試 驗 力 分 別 為 98.07,9.807,4.904,2.942,1.961N 時的維氏硬度測量不確定度,結果見表1.從表1可以看出:硬度計的最大允許誤差引入的相對標準不確定度uref,E 是維氏硬度試驗測量不確定度的主要來源,所占的權重最大,而試 驗 結 果 的 數 值 修 約 導 致 的 測 量 不 確 定 度uref,rou所占的權重最小,甚至可以忽略不計;對于同一維氏硬度(350HV),隨著試驗力的減小,合成標準不確定度和擴展不確定度均逐漸增大.也就是說,試驗力越大,維氏硬度試驗的測量不確定度則越小.






浙公網安備 33042402000106號 a>

