Bending Fatigue Properties of 3238A/E250F Composite Material
MA Li-ting,CHEN Xin-wen,WANG Hai-pang,DENG Li-wei,WANG Xiang
(1.BeijingInstituteofAeronauticalMaterials,Beijing100095,China;
2.BeijingAviationMaterialsTestingandEvaluationLaboratory,Beijing100095,China)
Abstract:Thebendingfatiguepropertiesof3238A/EW250Fcompositematerialwerestudiedbythreepoints
bendingloadingmode.Theresultsshowthatthedispersionofbendingfatiguelifeofthecompositewasrathersmall,andthefatiguelifeofalltestsamplescouldmeet90%confidencemedianliferequirements.Allsamplesweredestroyedattheeffectivepart,andaftersurfacedelaminationtherewasstillalongperiodoflife.Thefatiguelimitexpressedwithdynamicstressof3238A/EW250Fcompositelaidin0°directionwas73.2MPa.
Keywords:3238A/EW250Fcompositematerial;bendingfatigueproperty;fatiguelimit
復合材料以其高比強度、高比模量、質輕、結構和性能可設計性強等優異特性,在新一代殲擊機、武裝直升機、運輸機等主要機種中被大量使用。隨著復合材料在軍民各行業中用量的逐漸加大,對材料性能的要求也越來越高,因復合材料構件失效導致的事故也時有發生[1]。因此復合材料老化后的力學性能,也愈加引起材料生產和飛行器設計等部門的
高度重視,成為考查材料的重要指標之一。
復合材料因具有層合結構、多組分、制造工藝復雜且影響因素多、力學性能易受環境溫度的影響等特點,其失效機理非常復雜[2-3]。試驗用3238A/EW250F復合材料,較以往的復合材料在性能上有很大的提高。與其他復合材料相同,由該種復合材料制成的部件在貯存、停放或飛行過程中不可避免地會受到各種不同方式載荷的作用,而彎曲性能是評價材料工藝穩定的比較簡便的方法[4-6],所以在材料試制階段彎曲性能的測試是很有必要的。為此,筆 者 采 用 三 點 彎 曲 加 載 的 方 式 對 3238A/EW250F復合材料的彎曲疲勞性能進行了研究,以期為材料設計生產部門提供數據依據。試樣制備與試驗方法
1.1 試樣制備
試驗用復合材料牌號為3238A/EW250F,由北京航空材料研究院提供,為樹脂基玻璃纖維復合材料,采用熱壓工藝加工而成。按照 HB7624-1998《碳纖維復合材料層合板彎曲疲勞試驗方法》進行取樣,彎曲疲勞試樣形狀及尺寸如圖1所示,取樣方向為0°,鋪層方向為縱向。試樣尺寸為250mm×25mm×8mm,試驗件的幾
何尺寸用精度為0.02mm 的游標卡尺測量。試樣數量為35件,其中成組法測試20件,升降法測試條件疲勞極限10件,備用試樣5件。
1.2 試驗方法
在Instron8801試驗機上進行彎曲疲勞試驗,其上壓頭半徑犚=5mm,下支座半徑狉=2.5mm。
試驗條件如下:試驗頻率犳=10Hz;試驗環境溫度為(23±2)℃,濕度為(50%±10%)RH;應力比犚=0.05263;加載波形正弦波;加載方式為三點彎曲;動態載荷誤差小于±2%;條件疲勞極限指定
壽命為1×106 次。試驗過程如下:整條疲勞犛犖 曲線分別用成組法和升降法試驗,共完成5組試驗數據的測試,成組試驗法共測試4組,每組5個有效數據;升降法完成條件疲勞極限(N=1×106 次)的測試。
成組法部分:通過預試驗確定對應于疲勞壽命在幾千次、2×104~3×104 次、6×104~8×104 次、
2×105~4×105 次的加載系數 犓,犓=σmax/σb(σmax為最大應力,σb 為靜力拉伸強度),然后根據確定的4級加載系數進行疲勞試驗。
升降法部分:用升降法測試試樣的條件疲勞極限,指定壽命為1.0×106 次。有效數據為10個,即應力對子為5對。
對所有試樣,記錄在每一級應力水平下的應力水平值,并每隔1min記錄一次試驗時間、循環次數、載荷峰值和位移峰值(包括成組法和升降法試驗)。
2 試驗結果與討論
2.1 疲勞試驗數據處理
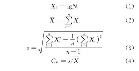
(1)成組法的試驗數據處理方法
式中:犖犻 為第犻個試樣的疲勞壽命;犡犻 為對數疲勞壽命(或者叫子樣觀測值);狀為子樣個數;犡珡 為對數疲勞壽命的平均值;狊為對數疲勞壽命的標準差;Cv為變異系數;N50為中值疲勞壽命。在成組法中,試驗數據是否滿足置信度要求,用變異系數Cv 判斷。
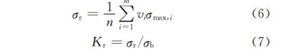
(b)升降法的試驗數據處理方法
式中:ui級應力σmax,犻的試驗次數;狀為試驗總次數;犿 應力水平的級數;σr 為條件疲勞極限;犓r 為條件疲勞極限對應的加載系數。
2.2S-N 曲線測試結果
復合材料疲勞性能試驗有效數據見表1,升降圖如圖2所示,犛犖 曲線如圖3所示,試樣典型斷口形貌如圖4所示。可以看出玻璃纖維增強樹脂基復合材料的彎曲疲勞性能有以下規律:隨著應力水平的升高,疲勞壽命降低,但對數疲勞壽命的標準差與應力水平的高低沒有明顯的規律。
所有斷裂試樣均在有效部位發生破壞,且都是下拉破壞,試樣表面出現分層后,還有較長的一段壽命期;試樣未完全斷開,卸下的未斷試樣彎曲變形很大。該復合材料疲勞壽命的分散性較小,在高低壽命區內試樣壽命都較集中,所有試驗點的疲勞壽命都滿足90%置信度的中值壽命。
通過疲勞試驗結果得到0°方向鋪層的3238A/EW250F復合材料的條件疲勞極限,以動應力表示為73.2MPa。
3 結論
(1)所有3238A/EW250F復合材料彎曲疲勞試樣均在有效部位發生破壞,且都是下拉破壞,但試樣未完全斷開,卸下的未斷試樣彎曲變形很大。
(2)該復合材料疲勞壽命的分散性較小,在高低壽命區內試樣壽命都集中,所有試驗點的疲勞壽命都滿足90%置信度的中值壽命。
(3)通過彎曲疲勞試驗結果得到0°方向鋪層
3238A/EW250F復合材料106 周次條件下的疲勞極限為73.2MPa(以動應力表示)。
(文章來源:材料與測試網-理化檢驗-理化分冊)


